No había escrito sobre los por 3 mil 200 millones de pesos que la Auditoría Superior de la Federación observó al gobierno de Baja California Sur el pasado 20 de febrero, por que pregunté y me dijeron que se estaba preparando un informe a detalle de lo encontrado por el órgano de fiscalización federal para darlo a conocer a la opinión pública.
“Las observaciones no quieren decir que haya desvíos”, se me dijo.
Y sí, las observaciones a las cuentas públicas no necesariamente se deben entender como posibles actos de corrupción, sino como un proceso de revisión y corrección de los recursos ejercidos, por lo que esperé al “informe detallado” que se me decía.
Ayer finalmente, el Gobierno del Estado en un “encuentro con medios de comunicación” hizo un informe público para tratar de explicar lo de las auditorías, encabezada por el gobernador Víctor Castro y la secretaria de Finanzas, Bertha Montaño.
De entrada HOY BCS no fue requerido, a pesar de ser de los pocos medios que publicó sobre el tema, pero como periodistas a veces tenemos que ir a donde no nos invitan, por que nos podemos “pelear” con la fuente, pero jamás con la información; por ello mi compañero Gilberto Santisteban acudió a la conferencia, aunque no se le permitió hacer cuestionamientos.
Sobre el tema, mi compañero además el 21 de febrero publicó en HOY BCS un resumen del análisis que hizo al documento oficial de la ASF, en el que encontró:
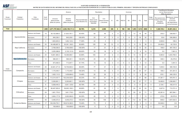
-Un monto por aclarar que asciende a los 3 mil 232 millones 539 mil pesos.
-Fue el cuarto estado con mayor monto por comprobar, solo después del Estado de México (4 mil 27 MDP), Veracruz (3 mil 598 MDP) y Nuevo León (3 mil 331 MDP).
-De un presupuesto de 21 mil 261 millones 626 mil pesos, la ASF tomó una muestra de 19 mil 689 millones 238 mil pesos, es decir el 92.60%, para llevar a cabo 35 auditorías.
– Las auditorías Arrojaron 227 observaciones por irregularidades o falta de comprobación en recursos federales: 143 de ellas ya fueron solventadas, mientras que 84 mantienen un estatus de “observaciones con acción”.
– En el rubro de “participaciones federales”, se evaluaron 6 mil 753 millones 381 mil pesos que arrojaron 25 observaciones, cinco de ellas solventadas y 20 con el estatus de “observaciones con acción”. Toda la revisión a este rubro dio un monto por aclarar de mil 769 millones 46 mil pesos.
– En el rubro “saneamiento financiero” resultó en observaciones, una solventadas y dos con el estatus “observación con acción”, dando un monto por aclarar de mil 377 millones 902 mil pesos.
Por su parte, en la rueda de prensa de ayer, la secretaria de Finanzas comentó:
– No habían sido notificados oficialmente por la ASF del tercer informe de la Fiscalización de la Cuenta Pública 2023.
– Tienen hasta 30 días hábiles después de ser notificados para presentar la información para aclarar las observaciones.
– De los 3 mil 232 millones observador, se ha entregado la información para aclarar mil 421 millones y quedan pendientes mil 811 millones (es decir, más del 50%).
– Las observaciones no sólo son al Gobierno del Estado, sino al Poder Judicial y a órganos descentralizados.
– En el caso del Gobierno del Estado, la Secretaría de Finanzas representa el 75% de las observaciones, con 2 mil 433 millones de pesos por comprobar.
– Las principales observaciones están en nómina (37%), contratos (22%), obra pública (18%) y forma de registro (19%), reportando 85 observaciones en estos rubros.
– En participaciones federales, por el orden de los 10 mil millones la ASF observó mil 796 millones.
– De 932 millones no acreditados “que se manejó en medios”, ya se entregó la información, ya que sólo faltaba registrar dentro del proceso contable que habían sido pagados.
Ya fuera de números, la funcionaria en el discurso justificó por qué Baja California Sur aparece como uno de los estados con mayor monto por observaciones en el país, reiterando que se trata de “inconsistencias administrativas” por no hacer un registro correcto de la información o por entregar la información a destiempo, como ha sido el posicionamiento que ha dado el gobernador desde que se ventilaron las observaciones de la ASF a la cuenta pública 2023.
Y agregó que todo ha derivado de que en anteriores administraciones no se cumplió con la ley de contabilidad gubernamental y no se contaba con un sistema de contabilidad integral armonizado, lo cual han trabajado en los últimos 3 años desde el inicio de su administración.
Y hubo el mensaje político:
“Nosotros pertenecemos a un movimiento político. Ni un solo peso está desaparecido de la secretaría de finanzas, todo el gasto está acreditado, nada de que nos robamos nada que se esté ejerciendo o permitiendo actos de corrupción. Se los puedo asegurar”.
Hasta aquí lo del informe de la secretaria de Finanzas.
Ahora bien, lo que publicó HOY BCS sobre las observaciones de la ASF, es público y puede ser consultado por cualquier ciudadano en este enlace:
https://informe.asf.gob.mx/Documentos/Matriz/MDB_Consolidado.pdf
En contraste, lo comentado ayer por la Secretaría de Finanzas del Estado sobre las observaciones, sólo se basó en discurso y en láminas con logos del propio gobierno del Estado proyectadas mientras hablaba Bertha Montaño, sin mostrarse los documentos para acreditar lo dicho, ni se entregó a los medios de comunicación una glosa con los documentos que acreditaran su informe.
Me acorde cuando se me decía en la elaboración de presupuestos anuales que “el papel lo aguanta todo”, es decir se pueden presentar gráficas y ponerlos cualquier información, lo útil es sustentarla.
Se insiste que no hay desvío de recursos, que todo el recurso público observado está debidamente acreditado.
Que confiemos porque “no son iguales”.
Pero no se es contundente con los documentos que lo comprueben.
La transparencia es cuestión de información pública en base a documentos.
La transparencia no es cuestión de fe.

